Excel-formler

Kapittel 3

Oppgave N3.6

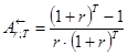
Regneark_ikon.jpgNår du skal lage en modell i Excel, vil det ofte være effektivt å ta utgangspunkt i en formel fra læreboken. I tabellen nedenfor oppgis lærebokformelen i andre kolonne. Tredje kolonne viser hvordan inngangsdataene er lagt inn i et regneark. Din oppgave er å beregne det tallet som mangler, som vi har markert med et spørsmålstegn.

 

  1. Finn tallet ved å Excel-programmere formelen fra kolonne 2. Ikke bruk standardfunksjon.

  2. Finn tallet ved å bruke en standard finansfunksjon i Excel.

  3. Finn tallet ved hjelp av finanskalkulator.
Matematisk formel Regneark
1 (3.3)
N3.6_1.png
N3.6_2.png
2 (3.11)
N3.6_3.png
N3.6_4.png
3 (3.17)
N3.6_5.png
N3.6_6.png

Se løsningsforslag:

© Fagbokforlaget | Kanalveien 51 | 5068 Bergen | Ordretelefon: 55 38 88 38 | Ordrefaks: 55 38 88 39 | ordre@fagbokforlaget.no | Cookies | Personvern